Équipe : Centre Bourgogne
Déclaration CTUP 12 mai 2022
Écrit par webm@ster le . Publié dans Non classé.
Règlement intérieur 2020 DT Centre Bourgogne
Écrit par webm@ster le .
Règlement intérieur Annexe1 garanties minimales DT Centre Bourgogne
Écrit par webm@ster le .
- RI CENTRE BOURGOGNE
- Garanties minimales DT CB
Règlement intérieur Annexe2 temps partiel DT Centre Bourgogne
Écrit par webm@ster le .
- RI DT CENTRE BOURGOGNE
- Temps partiel DT Centre Bourgogne
Règlement intérieur Annexe3 heures supplémentaires
Écrit par webm@ster le .
- DT CENTRE BOURGOGNE
- Heures supplémentaires DT Centre Bourgogne
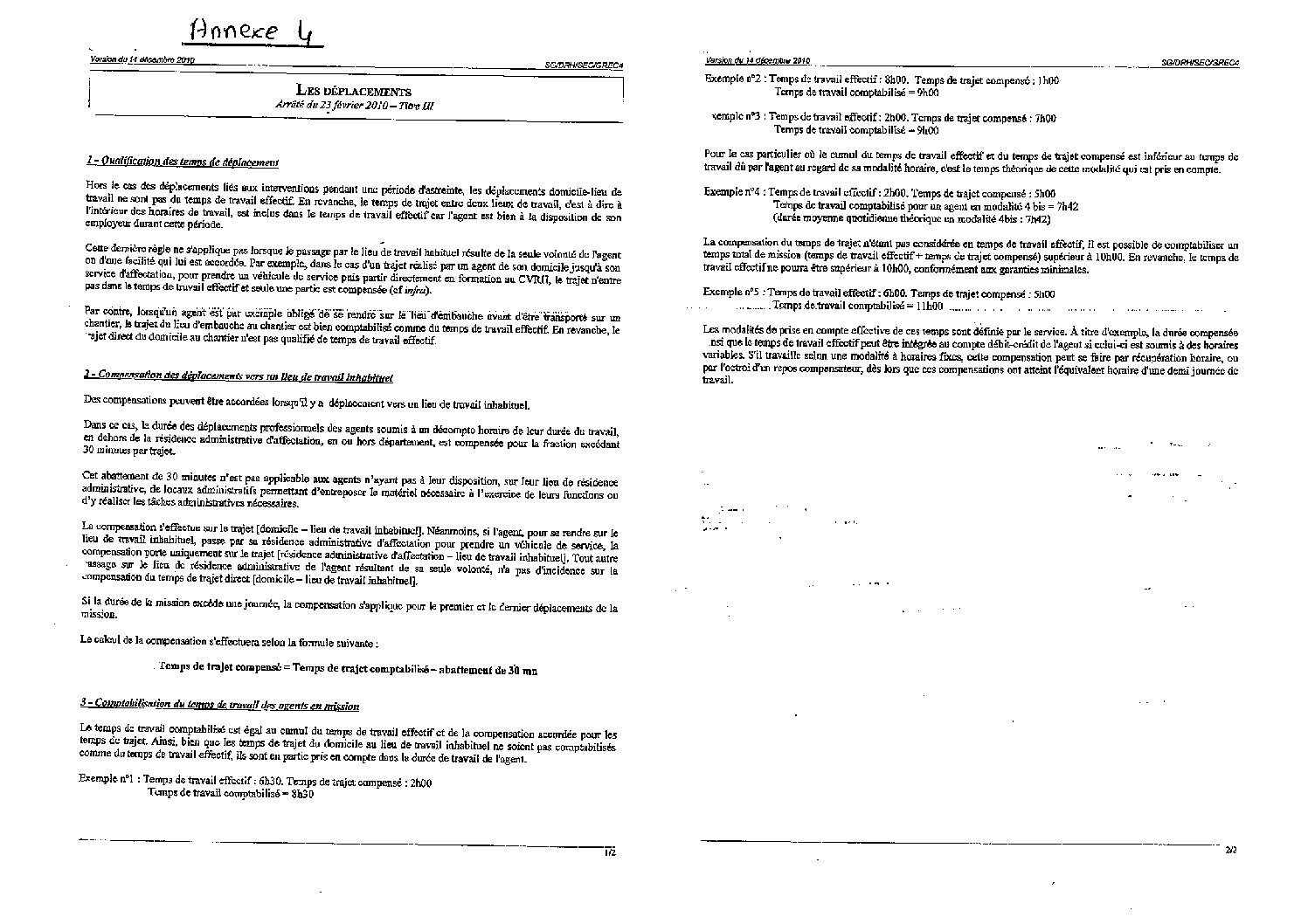
Règlement intérieur Annexe4 déplacements DT Centre Bourgogne
Écrit par webm@ster le .
- RI DT CENTRE BOURGOGNE
- Déplacements DT CENTRE BOURGOGNE
Règlement intérieur annexe5 Délibération CA
Écrit par webm@ster le .
- RI CENTRE BOURGOGNE
- Délibération au CA
Règlement intérieur annexe 5 délibérations horaires
Écrit par webm@ster le .
Règlement intérieur Annexe6 indemnités sujétions horaires
Écrit par webm@ster le .
- RI CENTRE BOURGOGNE
- Indemnités sujétions horaires











